分類
發燒車訊

Windows終端利器Cmder

在IT這一行,大部分情況下都是推薦大家使用Linux或者類Unix操作系統去編程,Linux作為一代優秀的操作系統,已經人盡皆知,在IT行業已經成為核心。有條件的大佬都選擇了使用mac編程,最優秀的莫過於終端體驗了,與Linux完全一致的命令行,帶來了許許多多的方便,但是使用Windows的用戶呢?相信大家都使用過cmd終端,它到底好不好呢。相信大家心中已經有了評判。

一、為什麼要換成cmder

現在我就要推薦一款Windows下的終端—>cmder
先來上兩張圖給大家看看

都不用我說,一眼就能分辨出他倆的區別了,其實他倆最大的區別是cmder完全支持Linux命令行,包括vi,而且可以多開,快捷鍵複製粘貼,分屏等,功能非常強大

二、下載和安裝

1.下載

官網自己下載也可以

  • 在官網下載的時候有兩個版本
    • Mini版本,只有簡單的命令行
    • Full版本,包含git功能(分佈式版本控制系統的git)

我推薦大家安裝Full版本,這樣就可以不用單獨安裝git了

2.安裝

安裝非常簡單,下載完成后,直接解壓到你存放軟件的目錄就好了

然後雙擊一下cmder.exe就可以先簡單體驗一下了

三、個性化設置

這款軟件可以完全替代Windows系統自帶的cmd終端,當然需要一點人性化的設置

1.配置環境變量

我就只上圖了,環境變量配置太過簡單了,百度上太多了,都是通用套路,配置完環境變量,就可以直接在Windows+r鍵里運行cmder打開終端了

上圖中我把git也配置進去了,這樣就不會說git不是內部或者外部命令了

2.配置右鍵菜單啟動

右鍵管理員身份運行cmder.exe,然後把下面的命令複製到cmder中執行一次

// 設置任意地方鼠標右鍵啟動Cmder
Cmder.exe /REGISTER ALL

3.進入設置的方法

右下角的,然後選擇Settings或者直接使用快捷鍵Windows+Alt+p打開設置

如果不習慣英文,可以將設置改成中文

下次再次打開設置,又會中文,只有這個設置生效一次,其他的都可以永久生效

4.設置字體風格等

設置字體的風格,大小等,圖中紅色位置不要勾選,否則會出現cmder終端字體重疊錯位的問題

終端界面的字體大小在設置里可以修改,也可以在終端界面滑動鼠標滾輪,或者觸控板雙擊縮放調整字體大小

5.窗口位置大小記憶

勾選這兩個設置,只需要設置一次,下次會自動記住上次終端在桌面出現的位置和窗口大小

6.設置vi模式下ESC鍵最小化窗口的問題

  • 將圖中紅色改成除了總是的其他選項,否則使用vi時會出現無法切換模式的問題
  • 勾選綠色的選項可以解決打開多個終端,任務欄显示多個窗口的問題

7.解決中文亂碼的問題

在使用ls命令時,中文亂碼的解決方案,將下面的代碼複製到圖中位置

set LANG=zh_CN.UTF-8
set LC_ALL=zh_CN.utf8

8.強製作為默認終端

  • 圖中綠色設置可以強制將cmder註冊成Windows的默認終端

    設置此選項后,系統啟動后就會生效,且,即使你打開的是cmd,也會被放到cmder的窗口中執行

  • 紅色選項可以解決每次關閉控制台時,彈出確認關閉的彈窗

9.解決粘貼多行文本時的彈窗

例如在終端中執行多行SQL語句,總會彈出提示,勾選選項可以解決

10.將命令提示改成$

默認的命令提示符是λ,大家都知道Linux是$,這裏提供一下修改的方法,並不是必須的

1)首先在cmder的安裝目錄下,找到vendor/目錄,然後找到clink.lua文件

2)右鍵使用sublime打開

  • 沒有sublime或者notepad++打開也可以,還沒有的話,記事本也可以的

3)打開后可以Ctrl+F查找下面的字段
local lambda =
4)將local lambda =""的值替換成$

5)保存關閉,重啟終端

11.將Idea的Terminal終端換成cmder

1)在idea中打開其他設置界面,如圖所示

在idea中settings是對當前項目生效,Other Settings是對所有項目生效

2)如圖中修改shell Path的路徑,替換成下面的內容

注意將cmder安裝目錄換成你的安裝目錄

//這種方式比較可靠,避免了環境變量失效的問題
"cmd.exe" /k ""你的cmder安裝目錄\vendor\init.bat""

//或者,這個需要有環境變量
"cmd.exe" /k ""%環境變量配置的cmder home目錄名稱%\vendor\init.bat""

3)再次打開Terminal終端就可以使用Linux命令了

12.將vscode的Terminal終端設置成cmder

1)打開設置

2)搜索code save,點擊打開設置json文件

3)將下面的代碼粘貼到文件中,修改為自己需要的內容

注意修改cmder的安裝目錄為自己的安裝目錄

// 設置終端為cmder
"terminal.integrated.shell.windows": "cmd.exe",
"terminal.integrated.env.windows": {
    //設置cmder的根目錄
    "CMDER_ROOT": "cmder的根目錄"
},
"terminal.integrated.shellArgs.windows": [
    "/k",
    //設置啟動初始化目錄
    "cmder的根目錄\\vendor\\init.bat"
],

//下面的設置可以不需要
//終端顏色配置
"workbench.colorCustomizations": {
    //可以將鼠標放到下面的色號上根據自己的偏好進行選擇
    "terminal.foreground": "#37FF13",
    "terminal.background": "#2b2424"
},
"terminal.integrated.cursorBlinking": true,
//設置terminal中的行高
"terminal.integrated.lineHeight": 1.1,
"terminal.integrated.letterSpacing": 0.1,
"terminal.integrated.fontSize": 12, //字體大小設置
"terminal.integrated.fontFamily": "monaco", //字體設置
"terminal.integrated.shell.linux": "/bin/zsh"

4)Ctrl+J打開終端,就可以使用了

本站聲明:網站內容來源於博客園,如有侵權,請聯繫我們,我們將及時處理

【其他文章推薦】

USB CONNECTOR掌控什麼技術要點? 帶您認識其相關發展及效能

※評比前十大台北網頁設計台北網站設計公司知名案例作品心得分享

※智慧手機時代的來臨,RWD網頁設計已成為網頁設計推薦首選

※評比南投搬家公司費用收費行情懶人包大公開

分類
發燒車訊

印尼水患災情慘重 雅加達省長遭民眾控告

摘錄自2020年1月14日中央社報導

印尼一名律師今天(14日)表示,在暴雨引發洪水及土石流災情,導致數十人喪命、數千人無家可歸後,雅加達省長阿尼斯(AniesBaswedan)因此被這座大城市的居民控告。

超過200名水患受災民眾昨天在首都雅加達(Jakarta)地方法院提出集體訴訟,尋求總計約430億印尼盾(約新台幣9000萬元)的賠償金。

這起訴訟指出,阿尼斯未能替雅加達這座大型城市提供合適的預警系統及有效的緊急救難措施,好讓人民的性命及財務損失降到最低。

雅加達的法務局沒有立即回應置評請求。

本站聲明:網站內容來源環境資訊中心https://e-info.org.tw/,如有侵權,請聯繫我們,我們將及時處理

【其他文章推薦】

USB CONNECTOR掌控什麼技術要點? 帶您認識其相關發展及效能

※評比前十大台北網頁設計台北網站設計公司知名案例作品心得分享

※智慧手機時代的來臨,RWD網頁設計已成為網頁設計推薦首選

※評比南投搬家公司費用收費行情懶人包大公開

分類
發燒車訊

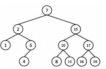
二叉搜索樹BST(C語言實現可用)

1:概述

搜索樹是一種可以進行插入,搜索,刪除等操作的數據結構,可以用作字典或優先級隊列。二叉搜索樹是最簡單的搜索樹。其左子樹的鍵值<=根節點的鍵值,右子樹的鍵值>=根節點的鍵值。

如果共有n個元素,那麼每次操作需要的O(log n)的時間.

 

 

 

常用知識點

  • 滿二叉樹 : 一棵深度為k,且有2^k-1個節點的二叉樹,稱為滿二叉樹。這種樹的特點是每一層上的節點數都是最大節點數。
  • 完全二叉樹 : 而在一棵二叉樹中,除最後一層外,若其餘層都是滿的,並且最後一層要麼是滿的,要麼在右邊缺少連續若干節點,則此二叉樹為完全二叉樹。具有n個節點的完全二叉樹的深度為floor(log2n)+1。深度為k的完全二叉樹,至少有2^(k-1)個恭弘=叶 恭弘子節點,至多有2^k-1個節點。

2.基本操作

  1. 查找(search)
  2. 插入(insert)
  3. 刪除(remove)

3:操作原理

  

查找

假設查找的值為x,從根節點的值開始比對,如果小於根節點的值,則往左兒子繼續查找,如果大於根節點的值,則往右兒子繼續查找.依次類推.直到當前節點的值等於要查找的值.

 

  以查找數值10為例

插入

按照查找的步驟即可找到插入值應該在的位置

 

 

以插入數值6為例

刪除:

有四種情況:

1: // 當前節點無左節點 ,右字節點7覆蓋5, 

: 3: // 當前節點無右節點 ,右字節點7覆蓋5, 

 

 : 4: // 刪除節點5的左節點沒有右節點, 只需要8作為3的右節點 ,3節點覆蓋5

 

 

: 2:  如果以上3中情況都沒有,只需要尋找當前節點的左節點的所有字節點的最大值,用最大值填充5節點 4填充5

 

 

 

 

5:完整代碼

#include <stdio.h> 
#include <stdlib.h>
struct TNode{
    int data;
    struct TNode *lt;
    struct TNode *rt;    
};
struct TNode* insrtTree(struct TNode *t,int key,int i);
void printTree(struct TNode *root);
struct TNode* delTree(struct TNode* t,int key);
int find(struct TNode* t,int key); 
int arr[1000]={0};
int main(){
    int n,m;
    int i,t;
    scanf("%d%d",&n,&m); 
    struct TNode *root=NULL;
    for(i=0;i<n;i++){
        scanf("%d",&arr[i]); 
        root=insrtTree(root,arr[i],i);
    }
    //t=arr[m-1];
    
    /*
    if(arr[m-1]==0){
        printf("Right child");
    }else{
        printf("Light child");
    }*/
    root=delTree(root,10);
    printTree(root);
    return 0;
}

int find(struct TNode* pt,int key){
    if(pt==NULL)return NULL;
    else if(pt->data==key)return 1;
    else if(pt->data>key) return find(pt->lt,key);
    else if(pt->data<key) return find(pt->rt,key);
}
// 刪除節點 
struct TNode* delTree(struct TNode* pt,int key){
    if(pt==NULL)return NULL;
    else if(pt->data>key) pt->lt=delTree(pt->lt,key);//尋找左節點 
    else if(pt->data<key) pt->rt=delTree(pt->rt,key);//尋找右節點
    //  找到節點 處理四種情況  
    else if(pt->lt==NULL){ // 當前節點無左節點 
        struct TNode* curt=pt->rt;
        free(pt);
        return curt;
    }else if(pt->rt==NULL){// 當前節點無右節點 
        struct TNode* curt=pt->lt;
        free(pt);
        return curt;
    }else if(pt->lt->rt==NULL){// 當前節點的左節點無右節點 
        struct TNode* curt=pt->lt;
        curt->rt=pt->rt;
        free(pt);
        return curt;
    }else{ 
    // 以上不滿足就把左兒子的子孫中最大的節點, 即右子樹的右子樹的...右子樹, 
    //提到需要刪除的節點位置
            struct TNode* p;
            for(p=pt->lt;p->rt->rt!=NULL;p=p->rt);
            struct TNode* curt=p->lt;
            p->rt=curt->rt;
            curt->lt=pt->lt;
            curt->rt=pt->rt;
            free(p);
            return curt;
    }
    return pt;
}
struct TNode* insrtTree(struct TNode *t,int key,int i){
    if(t==NULL){ //處理第一個節點 以及子節點為NULL情況 
        t=(struct TNode*)malloc(sizeof(struct TNode));
        t->lt=t->rt=NULL;
        t->data=key;
        return t;
    }
    if(t->data>key){// 插入左子樹情況 
         arr[i]=1;
        t->lt=insrtTree(t->lt,key,i);
    }else{         // 插入右子樹情況
        arr[i]=0;
        t->rt=insrtTree(t->rt,key,i);
    }
    return t;
}
void printTree(struct TNode *root){
    if(root==NULL)return;
    printf("%d ",root->data);
    printTree(root->lt);
    printTree(root->rt);
}

 

說明: 本身學習了 https://blog.csdn.net/li_l_il/article/details/88677927 但是完善了代碼 

本站聲明:網站內容來源於博客園,如有侵權,請聯繫我們,我們將及時處理

【其他文章推薦】

USB CONNECTOR掌控什麼技術要點? 帶您認識其相關發展及效能

※評比前十大台北網頁設計台北網站設計公司知名案例作品心得分享

※智慧手機時代的來臨,RWD網頁設計已成為網頁設計推薦首選

※評比南投搬家公司費用收費行情懶人包大公開

分類
發燒車訊

數據結構之隊列and棧總結分析

一、前言:

  數據結構中隊列和棧也是常見的兩個數據結構,隊列和棧在實際使用場景上也是相輔相成的,下面簡單總結一下,如有不對之處,多多指點交流,謝謝。

二、隊列簡介

  隊列顧名思義就是排隊的意思,根據我們的實際生活不難理解,排隊就是有先後順序,先到先得,其實在程序數據結構中的隊列其效果也是一樣,及先進先出。

     隊列大概有如下一些特性:

     1、操作靈活,在初始化時不需要指定其長度,其長度自動增加(默認長度為32)

        注:在實際使用中,如果事先能夠預估其長度,那麼在初始化時指定長度,可以提高效率

        2、泛型的引入,隊列在定義時可以指定數據類型避免裝箱拆箱操作

     3、存儲數據滿足先進先出原則

       

   c#中有關隊列的幾個常用方法:

    • Count:Count屬性返回隊列中元素個數。
    • Enqueue:Enqueue()方法在隊列一端添加一個元素。
    • Dequeue:Dequeue()方法在隊列的頭部讀取和刪除元素。如果在調用Dequeue()方法時,隊列中不再有元素,就拋出一個InvalidOperationException類型的異常。
    • Peek:Peek()方法從隊列的頭部讀取一個元素,但不刪除它。
    • TrimExcess:TrimExcess()方法重新設置隊列的容量。Dequeue()方法從隊列中刪除元素,但它不會重新設置隊列的容量。要從隊列的頭部去除空元素,應使用TrimExcess()方法。
    • Clear:Clear()方法從隊列中移除所有的元素。
    • ToArray:ToArray()複製隊列到一個新的數組中。

  下面通過隊列來實例模擬消息隊列的實現流程:

 

using System;
using System.Collections;
using System.Collections.Generic;

namespace dataStructureQueueTest
{
    class Program
    {
        static void Main(string[] args)
        {
            Console.WriteLine("通過Queue來模擬消息隊列的實現");
            QueueTest queueTest = new QueueTest();

            while (true)
            {
                Console.WriteLine("請輸入你操作的類型:1:代表生成一條消息,2:代表消費一條消息");
                string type = Console.ReadLine();
                if (type == "1")
                {
                    Console.WriteLine("請輸入具體消息:");
                    string inforValue = Console.ReadLine();
                    queueTest.InformationProducer(inforValue);
                }
                else if (type == "2")
                {
                    //// 在消費消息的時候,模擬一下,消費成功與消費失敗下次繼續消費的場景

                    object inforValue = queueTest.InformationConsumerGet();
                    if (inforValue == null)
                    {
                        Console.WriteLine("當前無可消息可消費");
                    }
                    else
                    {
                        Console.WriteLine("獲取到的消息為:" + inforValue);

                        Console.WriteLine("請輸入消息消費結果:1:成功消費消息,2:消息消費失敗");
                        string consumerState = Console.ReadLine();

                        ///// 備註:該操作方式線程不安全,在多線程不要直接使用
                        if (consumerState == "1")
                        {
                            queueTest.InformationConsumerDel();
                        }
                    }
                }
                else
                {
                    Console.WriteLine("操作有誤,請重新選擇");
                }
            }
        }
    }

    /// <summary>
    /// 隊列練習
    /// </summary>
    public class QueueTest
    {
        /// <summary>
        /// 定義一個隊列
        /// </summary>
        public Queue<string> queue = new Queue<string>();

        /// <summary>
        /// 生成消息--入隊列
        /// </summary>
        /// <param name="inforValue"></param>
        public void InformationProducer(string inforValue)
        {
            queue.Enqueue(inforValue);
        }

        /// <summary>
        /// 消費消息---出隊列--只獲取數據,不刪除數據
        /// </summary>
        /// <returns></returns>
        public object InformationConsumerGet()
        {
            if (queue.Count > 0)
            {
                return queue.Peek();
            }

            return null;
        }

        /// <summary>
        /// 消費消息---出隊列---獲取數據的同時刪除數據
        /// </summary>
        /// <returns></returns>
        public string InformationConsumerDel()
        {
            if (queue.Count > 0)
            {
                return queue.Dequeue();
            }

            return null;
        }
    }
}

 

 

三、棧簡介

  棧和隊列在使用上很相似,只是棧的數據存儲滿足先進后出原則,棧有如下一些特性:

     1、操作靈活,在初始化時不需要指定其長度,其長度自動增加(默認長度為10)

        注:在實際使用中,如果事先能夠預估其長度,那麼在初始化時指定長度,可以提高效率

        2、泛型的引入,棧在定義時可以指定數據類型避免裝箱拆箱操作

     3、存儲數據滿足先進后出原則

    c#中有關棧的幾個常用方法:

  • Count:Count屬性返回棧中的元素個數。
  • Push:Push()方法在棧頂添加一個元素。
  • Pop:Pop()方法從棧頂刪除一個元素,並返回該元素。如果棧是空的,就拋出一個InvalidOperationException類型的異常。
  • Peek:Peek()方法返回棧頂的元素,但不刪除它。
  • Contains:Contains()方法確定某個元素是否在棧中,如果是,就返回true。

     下面通過一個棧來模擬瀏覽器的回退前進操作的實現

 

using System;
using System.Collections.Generic;

namespace dataStructureStackTest
{
    class Program
    {
        static void Main(string[] args)
        {
            //// 通過棧來模擬瀏覽器回退前進操作
            ////   1、定義兩個棧,分別記錄回退的地址集合,和前進地址集合
            ////   2、在操作具體的回退或者前進操作時
            ////      如果和前一次操作相同,那麼就取出對應隊列的一條數據存儲到另外一個隊列
            Console.WriteLine("本練習模擬瀏覽器的回退前進操作:");

            /// 假設瀏覽器已瀏覽了20個網站記錄
            StackTest stackTestBack = new StackTest(20);
            StackTest stackTestGo = new StackTest(20);
            for (int i = 0; i < 20; i++)
            {
                stackTestBack.PushStack("網站" + (i + 1).ToString());
            }

            //// 記錄上一次操作
            string beforOpert = "";
            while (true)
            {
                Console.WriteLine("");
                Console.WriteLine("請輸入你操作的類型:1:回退,2:前進");
                string type = Console.ReadLine();

                if (type == "1")
                {
                    //// 出棧
                    if (beforOpert == type)
                    {
                        stackTestGo.PushStack(stackTestBack.GetAndDelStack());
                    }
                    string wbeSit = stackTestBack.GetStack();
                    Console.WriteLine("回退到頁面:" + wbeSit);
                    beforOpert = type;
                }
                else if (type == "2")
                {
                    //// 出棧
                    if (beforOpert == type)
                    {
                        stackTestBack.PushStack(stackTestGo.GetAndDelStack());
                    }
                    string wbeSit = stackTestGo.GetStack();

                    Console.WriteLine("回退到頁面:" + wbeSit);
                    beforOpert = type;
                }
                else
                {
                    Console.WriteLine("請輸入正確的操作方式!!");
                }
            }
        }
    }

    /// <summary>
    /// 隊列練習
    /// </summary>
    public class StackTest
    {
        /// <summary>
        /// 定義一個棧
        /// </summary>
        public Stack<string> stack;

        /// <summary>
        ///無參數構造函數,棧初始化為默認長度
        /// </summary>
        public StackTest()
        {
            stack = new Stack<string>();
        }

        /// <summary>
        ///有參數構造函數,棧初始化為指定長度
        ///如果在定義隊列時,如果知道需要存儲的數據長度,那麼最好預估一個長度,並初始化指定的長度
        /// </summary>
        public StackTest(int stackLen)
        {
            stack = stackLen > 0 ? new Stack<string>(stackLen) : new Stack<string>();
        }

        /// <summary>
        /// 入棧
        /// </summary>
        /// <param name="inforValue"></param>
        public void PushStack(string inforValue)
        {
            stack.Push(inforValue);
        }

        /// <summary>
        /// 出棧(但不刪除)
        /// </summary>
        /// <returns></returns>
        public string GetStack()
        {
            if (stack.Count > 0)
            {
                return stack.Peek();
            }

            return null;
        }

        /// <summary>
        /// 出棧(並刪除)
        /// </summary>
        /// <returns></returns>
        public string GetAndDelStack()
        {
            if (stack.Count > 0)
            {
                return stack.Pop();
            }

            return null;
        }
    }
}

 

四、使用場景總結

  根據隊列和棧的特點,下面簡單總結一下隊列和棧的一些實際使用場景

   隊列:

    1、異步記錄日誌,此處會涉及到單例模式的使用

    2、消息隊列

    3、業務排隊,比如12306車票購買排隊等候

    4、其他符合先進先出原則的業務操作

   棧:

    1、可回退的操作記錄,比如:瀏覽器的回退操作

    2、計算表達式匹配,比如:計算器表達式計算

    3、其他符合先進后出原則的業務操作

 

附件:

關於這一些練習的代碼,上傳到github,有興趣的可以看一下:

 

本站聲明:網站內容來源於博客園,如有侵權,請聯繫我們,我們將及時處理

【其他文章推薦】

USB CONNECTOR掌控什麼技術要點? 帶您認識其相關發展及效能

※評比前十大台北網頁設計台北網站設計公司知名案例作品心得分享

※智慧手機時代的來臨,RWD網頁設計已成為網頁設計推薦首選

※評比南投搬家公司費用收費行情懶人包大公開

分類
發燒車訊

吉利:到2020年新能源汽車銷量將實現90%以上的占比

日前,吉利控股集團董事長李書福在接受《中國經營報》記者採訪時表示,以後我們開發的新產品基本是新能源汽車和智慧互聯汽車,傳統汽車就逐漸不生產了。

此話背後,實際就是吉利於近日提出的“藍色吉利行動”中的重要一環,到2020年,其新能源汽車銷量將實現90%以上的銷量占比。

具體來說,根據“藍色吉利行動”,吉利新能源將在技術上主打純電動、油電混動、插電式混合動力三種路線,並通過兩大平臺——FE(中高端)與PE(緊湊級)平臺來發展純電動車板塊。

從以上路徑上看,吉利與其他車企並無二致,但其公佈的“五大承諾”卻足以讓業內熱議——第一,提前全面實現2020年國家第四階段每百公里5.0L的企業平均燃油消耗限值;第二,實現消費者用傳統汽車的購買成本購買插電式混動汽車的夢想;第三,實現到2020年新能源汽車銷量占吉利整體銷量的90%以上;第四,在氫燃料及金屬燃料電池汽車研發方面取得實質性成果;第五,實現新能源技術,智慧化、輕量化技術在行業的領先地位。

雖然言之鑿鑿,但不得不說的是,90%以上的新能源銷量加上此前吉利發佈的“2020年實現120萬輛”的銷量目標,同年吉利新能源汽車銷量目標竟逾100萬輛。

對此,吉利控股集團總裁CEO安聰慧表示:“吉利制定這樣的目標並不是為了和其他企業進行對比,而是結合自身發展提出來的。”

據其介紹,在技術領域,吉利汽車將以與沃爾沃合作打造的CMA中高級車基礎模組架構為核心打造新能源車型,該方面的設計研發工作主要由吉利汽車歐洲研發中心承擔,該中心在瑞典哥德堡已有1200名工程師,中國杭州也有300名工程師,負責架構開發、上車體開發、核心部件開發開發,整車設計、工程製造及新技術的研發。CMA基礎模組架構可以實現電機+發動機等核心部件的批量生產。

此外,2015年初,吉利與新大洋機電集團成立合資公司並推出知豆電動車,加之此前其子公司上海華普國潤與康迪車業成立的合資公司,署名吉利旗下的新能源車型並不止吉利品牌。雖然,吉利在新能源領域的開疆破土頗有“借力而為”之感,但不論如何,2015年1~11月,在乘聯會統計的自主品牌新能源車銷量占比情況中,吉利節節攀升,的確實現了在自主品牌領域的市占率穩增,也正因如此,加之政策的多重鼓勵,吉利才許下到2020年實現新能源汽車逾百萬的戰略目標。

本站聲明:網站內容來源於EnergyTrend https://www.energytrend.com.tw/ev/,如有侵權,請聯繫我們,我們將及時處理

【其他文章推薦】

USB CONNECTOR掌控什麼技術要點? 帶您認識其相關發展及效能

※評比前十大台北網頁設計台北網站設計公司知名案例作品心得分享

※智慧手機時代的來臨,RWD網頁設計已成為網頁設計推薦首選

※評比南投搬家公司費用收費行情懶人包大公開

分類
發燒車訊

源碼學習系列之SpringBoot自動配置(篇二)

源碼學習系列之SpringBoot自動配置(篇二)之HttpEncodingAutoConfiguration 源碼分析

繼上一篇博客之後,本博客繼續跟一下SpringBoot的自動配置源碼

ok,先複習一下上一篇的內容,從前面的學習,我們知道了SpringBoot的自動配置主要是由一個選擇器AutoConfigurationImportSelector,先通過選擇器將自動配置的類加載到Spring容器

注意點:

  • List configurations = this.getCandidateConfigurations(annotationMetadata, attributes);獲取的候選配置的類名
  • 由SpringFactoriesLoader加載器負責加載配置類名,已經裝載配置類到容器,SpringFactoriesLoader的loadSpringFactories方法讀取自動配置工程的META-INF/spring.factories配置文件,加載配置類的全類名,包裝成Properties對象,然後再加載到容器里
public static final String FACTORIES_RESOURCE_LOCATION = "META-INF/spring.factories";
    /* 將spring.factories的類都裝載到Spring容器*/
     public static List<String> loadFactoryNames(Class<?> factoryClass, ClassLoader classLoader) {
        String factoryClassName = factoryClass.getName();

        try {
        //將META-INF/spring.factories文件里配置的屬性都裝載到Enumeration數據結構里
            Enumeration<URL> urls = classLoader != null ? classLoader.getResources("META-INF/spring.factories") : ClassLoader.getSystemResources("META-INF/spring.factories");
            ArrayList result = new ArrayList();
            //遍歷獲取屬性,然後再獲取對應的配置類全類名
            while(urls.hasMoreElements()) {
                URL url = (URL)urls.nextElement();
                Properties properties = PropertiesLoaderUtils.loadProperties(new UrlResource(url));
                String factoryClassNames = properties.getProperty(factoryClassName);
                result.addAll(Arrays.asList(StringUtils.commaDelimitedListToStringArray(factoryClassNames)));
            }

            return result;
        } catch (IOException var8) {
            throw new IllegalArgumentException("Unable to load [" + factoryClass.getName() + "] factories from location [" + "META-INF/spring.factories" + "]", var8);
        }
    }

ok,Springboot的自動配置類都在這個包里,源碼很多,所以本博客只是簡單跟一下源碼

自動配置可以說是SpringBoot框架的一個很重要的功能,其強大的功能就是通過很多配置類實現的,當然這麼多配置,可以參考SpringBoot官方的配置參考:
https://docs.spring.io/spring-boot/docs/2.1.10.RELEASE/reference/html/common-application-properties.html

SpringBoot的自動配置類很多,顯然不是每個配置類都生效的,比如你沒引對應的jar,那對應的配置類肯定是不起效的,ok,本博客以HttpEncodingAutoConfiguration自動編碼配置類為實例,記錄一下SpringBoot的自動配置

先補充一些@Conditional註解的用法:詳情可以參考我上篇博客

@Conditional派生註解 作用(都是判斷是否符合指定的條件)
@ConditionalOnJava 系統的java版本是否符合要求
@ConditionalOnBean 有指定的Bean類
@ConditionalOnMissingBean 沒有指定的bean類
@ConditionalOnExpression 符合指定的SpEL表達式
@ConditionalOnClass 有指定的類
@ConditionalOnMissingClass 沒有指定的類
@ConditionalOnSingleCandidate 容器只有一個指定的bean,或者這個bean是首選bean
@ConditionalOnProperty 指定的property屬性有指定的值
@ConditionalOnResource 路徑下存在指定的資源
@ConditionalOnWebApplication 系統環境是web環境
@ConditionalOnNotWebApplication 系統環境不是web環境
@ConditionalOnjndi JNDI存在指定的項

通過上篇博客的學習,我們已經知道了SpringBoot有很多自動配置類,所以本博客拿HttpEncodingAutoConfiguration類來看看

補充:

  • @Configuration proxyBeanMethods屬性:默認是開啟的,開啟后允許其它配置類調用這個類的@bean方法,詳情參看Spring官方文檔:
package org.springframework.boot.autoconfigure.web.servlet;

import org.springframework.boot.autoconfigure.condition.ConditionalOnClass;
import org.springframework.boot.autoconfigure.condition.ConditionalOnMissingBean;
import org.springframework.boot.autoconfigure.condition.ConditionalOnProperty;
import org.springframework.boot.autoconfigure.condition.ConditionalOnWebApplication;
import org.springframework.boot.autoconfigure.condition.ConditionalOnWebApplication.Type;
import org.springframework.boot.autoconfigure.http.HttpProperties;
import org.springframework.boot.autoconfigure.http.HttpProperties.Encoding;
import org.springframework.boot.context.properties.EnableConfigurationProperties;
import org.springframework.boot.web.server.WebServerFactoryCustomizer;
import org.springframework.boot.web.servlet.filter.OrderedCharacterEncodingFilter;
import org.springframework.boot.web.servlet.server.ConfigurableServletWebServerFactory;
import org.springframework.context.annotation.Bean;
import org.springframework.context.annotation.Configuration;
import org.springframework.core.Ordered;
import org.springframework.web.filter.CharacterEncodingFilter;

@Configuration(
    proxyBeanMethods = false
)//指定是一個配置列,關了proxyBeanMethods,其它配置類就不能調相應的@bean類
@EnableConfigurationProperties({HttpProperties.class})//讓使用 @ConfigurationProperties註解的HttpProperties類生效,HttpProperties類通過ConfigurationProperties註解,將屬性配置一個一個加載進來
@ConditionalOnWebApplication(
    type = Type.SERVLET
)//指定系統環境是Web環境配置才起效,並且指定類型是SERVLET
@ConditionalOnClass({CharacterEncodingFilter.class})//系統有CharacterEncodingFilter過濾器類,則配置類起效,CharacterEncodingFilter類:SpringMVC中進行亂碼解決的過濾器
@ConditionalOnProperty(
    prefix = "spring.http.encoding",
    value = {"enabled"},
    matchIfMissing = true
)//判斷配置文件是否有spring.http.encoding.enabled屬性,如果沒配置,也是默認為true的,因為配置了`matchIfMissing =true`
public class HttpEncodingAutoConfiguration {
    //創建一個Encoding對象
    private final Encoding properties;
    // 構造函數里通過properties.getEncoding();進行屬性映射,獲取默認的配置
    public HttpEncodingAutoConfiguration(HttpProperties properties) {
        this.properties = properties.getEncoding();
    }

    @Bean
    @ConditionalOnMissingBean//如果系統沒有CharacterEncodingFilter類,就執行characterEncodingFilter方法
    public CharacterEncodingFilter characterEncodingFilter() {
        //重新創建一個編碼過濾器
        OrderedCharacterEncodingFilter filter = new OrderedCharacterEncodingFilter();
        //設置默認的配置
        filter.setEncoding(this.properties.getCharset().name());
        filter.setForceRequestEncoding(this.properties.shouldForce(org.springframework.boot.autoconfigure.http.HttpProperties.Encoding.Type.REQUEST));
        filter.setForceResponseEncoding(this.properties.shouldForce(org.springframework.boot.autoconfigure.http.HttpProperties.Encoding.Type.RESPONSE));
        return filter;
    }

    @Bean
    public HttpEncodingAutoConfiguration.LocaleCharsetMappingsCustomizer localeCharsetMappingsCustomizer() {
        return new HttpEncodingAutoConfiguration.LocaleCharsetMappingsCustomizer(this.properties);
    }

    private static class LocaleCharsetMappingsCustomizer implements WebServerFactoryCustomizer<ConfigurableServletWebServerFactory>, Ordered {
        private final Encoding properties;

        LocaleCharsetMappingsCustomizer(Encoding properties) {
            this.properties = properties;
        }

        public void customize(ConfigurableServletWebServerFactory factory) {
            if(this.properties.getMapping() != null) {
                factory.setLocaleCharsetMappings(this.properties.getMapping());
            }

        }

        public int getOrder() {
            return 0;
        }
    }
}

通過對HttpEncodingAutoConfiguration源碼的學習,可以看出,其實主要是用@Conditional及其派生註解,這些註解都是要在特定情況才會起效,起效了,才會將組件加載到Spring容器里

ok,然後我們怎麼知道哪些配置是起效的?在SpringBoot項目里,是可以通過配置,開啟打印的,可以在application.properties加上debug=true屬性就可以

控制台打印的Positive matches就表示有效的配置類

console打印的Negative matches表示不起效的配置類:
比如我的項目沒有加aop的,aop自動配置類就不起效

本站聲明:網站內容來源於博客園,如有侵權,請聯繫我們,我們將及時處理

【其他文章推薦】

USB CONNECTOR掌控什麼技術要點? 帶您認識其相關發展及效能

※評比前十大台北網頁設計台北網站設計公司知名案例作品心得分享

※智慧手機時代的來臨,RWD網頁設計已成為網頁設計推薦首選

※評比南投搬家公司費用收費行情懶人包大公開

分類
發燒車訊

ES6學習筆記01 — 暫時性死區 ( temporal dead zone )

參考文檔:   

       

       

注:文中代碼僅作示意,複製運行時需要適當調整

  
ES6 規定,如果代碼區塊中存在 let  const 命令聲明的變量,這個區塊對這些變量從一開始就形成了封閉作用域,直到聲明語句完成,這些變量才能被訪問(獲取或設置),否則會報錯ReferenceError。這在語法上稱為“暫時性死區”(英temporal dead zone,簡 TDZ),即代碼塊開始到變量聲明語句完成之間的區域。
  通過 var 聲明的變量擁有變量提升、沒有暫時性死區,作用於函數作用域:

    • 當進入變量的作用域(包圍它的函數),立即為它創建(綁定)存儲空間,立即被初始化並被賦值為 undefined   
    • 當執行到變量的聲明語句時,如果變量定義了值則會被賦值
    (function fn() {  //函數作用域開始
        console.log(temp)  //undefined
        //聲明
        var temp 
        console.log(temp)  //undefined
        //賦值
        temp = 123
        console.log(temp)  //123
    })()
    //在函數作用域外訪問
    console.log(temp)  //ReferenceError: temp is not defined

 

  通過 let 聲明的變量沒有變量提升、擁有暫時性死區,作用於塊級作用域:

    • 當進入變量的作用域(包圍它的語法塊),立即為它創建(綁定)存儲空間,不會立即初始化,也不會被賦值
    • 訪問(獲取或設置)該變量會拋出異常 ReferenceError
    • 當執行到變量的聲明語句時,如果變量定義了值則會被賦值,如果變量沒有定義值,則被賦值為undefined
        {  //函數作用域開始,TDZ開始
            console.log(temp)  //ReferenceError: temp is not defined
            //聲明
            let temp  
            console.log(temp)  //ReferenceError: Cannot access 'temp' before initialization
            //賦值
            temp = 345  //TDZ結束
            console.log(temp)  //345
            //塊級作用域結束
        }
        //在塊級作用域外訪問
        console.log(temp)  //ReferenceError: temp is not defined

 

  通過 const 聲明的常量,需要在定義的時候就賦值,並且之後不能改變,暫時性死區與 let 類似。

        {   //作用域開始,TDZ開始
            console.log(temp)  //ReferenceError: temp is not defined
            //聲明並賦值
            const temp = 789  //TDZ結束
            console.log(temp)  //789 
            //給常量賦值
            temp = 987  //TypeError: Assignment to constant variable
            //作用域結束
        }   
        //在作用域外訪問
        console.log(temp)  //ReferenceError: temp is not defined

 

  
一句話總結:在塊級作用域中, let  const 聲明的變量、常量在聲明語句執行完成之前不能訪問(包括聲明語句本身)
  另外,容易因為 暫時性死區 而出錯的細節代碼在此不展開舉例,參考文檔中有詳情舉例。  
  附:第一次寫學習筆記,寫隨筆花費的時間比學習相關內容的時間還要長,感覺有點本末倒置,不過以後回頭看應該會覺得有所值得吧!  

  

  

 

本站聲明:網站內容來源於博客園,如有侵權,請聯繫我們,我們將及時處理

【其他文章推薦】

USB CONNECTOR掌控什麼技術要點? 帶您認識其相關發展及效能

※評比前十大台北網頁設計台北網站設計公司知名案例作品心得分享

※智慧手機時代的來臨,RWD網頁設計已成為網頁設計推薦首選

※評比南投搬家公司費用收費行情懶人包大公開

分類
發燒車訊

電動摺疊腳踏車、滑板車搶攻最後一哩交通需求

傳統交通工具汽機車造成許多空氣污染與碳排放,許多廠商認為解決方案是電動車、電動機車,不過,也有人提出另一個想法,那就是何不更充分利用大眾運輸工具,只要解決捷運站到目的地的「最後一哩」交通需求即可鼓勵許多人不用自己開車、騎機車,而願意搭乘捷運。在 CES 2016 上,許多廠商都推出類似概念的產品。

Cycle Board 推出「街道衝浪者」(Street Surfer)電動滑板三輪車,這輛滑板車的前端有兩輪,連接把手,負責轉向,較大的雙前輪也提供在人行道等不平坦路面上的穩定性,後端有一個小輪,把手可伸縮配合使用者身高,也可收疊起來方便攜帶,把手上除了剎車等基本控制,還可裝上手機。「街道衝浪者」充電一次可行駛 15 到 20 英里(24.1 到 32.2 公里),最高時速 20 英里(32.2 公里)。

▲ Street Surfer(Source:) Urban626 則推出 Urb-e 折疊式電動腳踏車,結構像是一把折疊刀,設計師宣稱可快速折疊,實測大約 1 秒鐘可折疊起來,便於帶電車車廂,或是裝進汽車後車廂,骨架以鋁打造,總重 35 英磅(15.876 公斤),時速最高 24 公里,充電 4 小時充飽後,可以行駛 32 公里。   由 Smart Rhino 推出的 Xcooter 同樣是電動折疊式腳踏車,以 X 形狀骨架收合,充電 3 小時可行駛 28 公里,最高時速 80 公里,重量 18 公斤。這些可折疊的電動腳踏車或許是解決捷運站到目的地交通問題的解決方案,不過售價可不便宜,Urb-e 售價 1,500 美元,將近 5 萬元新台幣,Xcooter 預售價 1,499 美元,而 2016 年 4 月正式上市時售價將為 1,799 美元,將近 6 萬元新台幣。

(本文授權轉載自《》─〈〉)

本站聲明:網站內容來源於EnergyTrend https://www.energytrend.com.tw/ev/,如有侵權,請聯繫我們,我們將及時處理

【其他文章推薦】

USB CONNECTOR掌控什麼技術要點? 帶您認識其相關發展及效能

※評比前十大台北網頁設計台北網站設計公司知名案例作品心得分享

※智慧手機時代的來臨,RWD網頁設計已成為網頁設計推薦首選

※評比南投搬家公司費用收費行情懶人包大公開

分類
發燒車訊

X-Admin&ABP框架開發-RBAC

  在業務系統需求規劃過程中,通常對於諸如組織機構、用戶和角色等這種基礎功能,通常是將這部分功能規劃到通用子域中,這也說明了,對於這部分功能來講,是系統的基石,整個業務體系是建立於這部分基石之上的,當然,還有諸如多語言、設置管理、認證和授權等。對於這部分功能,ABP中存在這些概念,並且通過Module Zero模塊完成了這些概念。

 

一、角色訪問控制之RBAC

  RBAC:Role Based Access Control,基於角色的訪問控制,這在目前大多數軟件中來講已經算得上是普遍應用了,最常見的結構如下,結構簡單,設計思路清晰。

  

  但是也存在其它升級版的設計,諸如用戶權限表、角色組、用戶組的概念等,具體分類有RBAC0、RBAC1、RBAC2等,後者功能越來越強大,也越來越複雜。

  • RBAC0:是RBAC的核心思想。
  • RBAC1:是把RBAC的角色分層模型。
  • RBAC2:增加了RBAC的約束模型。
  • RBAC3:整合RBAC2 + RBAC1。

 

二、ABP中的RBAC

  在Abp中,已經集成了這些概念,並在ModuleZero模塊中實現了這些概念,基於IdentityServer4的ModuleZero模塊完成了封裝。對於我們大多數以業務為中心的開發人員來講,不應該又去造一個輪子,而是應該開好這輛車。首先看下Abp中的RBAC模型

  

  在這其中權限表中記錄了用戶與權限,角色與權限兩部分。對於權限通常指的是功能權限和數據權限兩部分,一般來講,大多指的是功能權限,這種通過角色與權限進行管理即可,如還有用戶部分的功能區分,則可以再使用上用戶與權限,而對於數據權限,可以利用用戶與權限部分,個人用的比較少,但是,可以想象到這麼一個場景,針對於一家門店內的多個店長,角色相同即相應的權限相同,但各自關心的數據來源不同,關心東部、南部等數據,而不關心西部、北部數據,因此可以在數據層面進行劃分,比如設置數據來源,東南西北,對於數據來源進行權限關聯,這樣一來用戶本身如果擁有東部數據權限,則只能看到東部數據。

 

1、權限聲明及應用

  在Abp中,需要首先在Core層/Authorization/PermissionNames.cs中聲明權限,Abp權限部分設計原則是:先聲明再使用

/// <summary>
/// 權限命名
/// </summary>
public static class PermissionNames
{
    #region 頂級權限
    public const string Pages = "Pages";
    #endregion

    #region 基礎支撐平台
    public const string Pages_Frame = "Pages.Frame";

    #region 租戶管理
    public const string Pages_Frame_Tenants = "Pages.Frame.Tenants";
    #endregion

    #region 組織機構
    public const string Pages_Frame_OrganizationUnits = "Pages.Frame.OrganizationUnits";
    public const string Pages_Frame_OrganizationUnits_Create = "Pages.Frame.OrganizationUnits.Create";
    public const string Pages_Frame_OrganizationUnits_Update = "Pages.Frame.OrganizationUnits.Update";
    public const string Pages_Frame_OrganizationUnits_Delete = "Pages.Frame.OrganizationUnits.Delete";
    #endregion

    #region 用戶管理
    public const string Pages_Frame_Users = "Pages.Frame.Users";
    public const string Pages_Frame_Users_Create = "Pages.Frame.Users.Create";
    public const string Pages_Frame_Users_Update = "Pages.Frame.Users.Update";
    public const string Pages_Frame_Users_Delete = "Pages.Frame.Users.Delete";
    public const string Pages_Frame_Users_ResetPassword = "Pages.Frame.Users.ResetPassword";
    #endregion

    #region 角色管理
    public const string Pages_Frame_Roles = "Pages.Roles";
    public const string Pages_Frame_Roles_Create = "Pages.Frame.Roles.Create";
    public const string Pages_Frame_Roles_Update = "Pages.Frame.Roles.Update";
    public const string Pages_Frame_Roles_Delete = "Pages.Frame.Roles.Delete";
    #endregion

}

  然後在Core層/Authorization/XXXAuthorizationProvider.cs中設置具體權限,在此處設置權限時,可以根據權限設計時候的職責劃分,比如如果僅僅是多租戶需要這部分,那便設置權限範圍為多租戶即可。

public class SurroundAuthorizationProvider : AuthorizationProvider
{
    public override void SetPermissions(IPermissionDefinitionContext context)
    {
        #region 頂級權限
        var pages = context.CreatePermission(PermissionNames.Pages, L("Pages"));
        #endregion

        #region 基礎支撐平台
        var frame = pages.CreateChildPermission(PermissionNames.Pages_Frame, L("Frame"));

        #region 租戶管理
        frame.CreateChildPermission(PermissionNames.Pages_Frame_Tenants, L("Tenants"), multiTenancySides: MultiTenancySides.Host);
        #endregion

        #region 組織機構
        var organizationUnits = frame.CreateChildPermission(PermissionNames.Pages_Frame_OrganizationUnits, L("OrganizationUnits"));
        organizationUnits.CreateChildPermission(PermissionNames.Pages_Frame_OrganizationUnits_Create, L("CreateOrganizationUnit"));
        organizationUnits.CreateChildPermission(PermissionNames.Pages_Frame_OrganizationUnits_Update, L("EditOrganizationUnit"));
        organizationUnits.CreateChildPermission(PermissionNames.Pages_Frame_OrganizationUnits_Delete, L("DeleteOrganizationUnit"));
        #endregion

        #region 用戶管理
        var users = frame.CreateChildPermission(PermissionNames.Pages_Frame_Users, L("Users"));
        users.CreateChildPermission(PermissionNames.Pages_Frame_Users_Create, L("CreateUser"));
        users.CreateChildPermission(PermissionNames.Pages_Frame_Users_Update, L("UpdateUser"));
        users.CreateChildPermission(PermissionNames.Pages_Frame_Users_Delete, L("DeleteUser"));
        users.CreateChildPermission(PermissionNames.Pages_Frame_Users_ResetPassword, L("ResetPassword"));
        #endregion

        #region 角色管理
        var roles = frame.CreateChildPermission(PermissionNames.Pages_Frame_Roles, L("Roles"));
        roles.CreateChildPermission(PermissionNames.Pages_Frame_Roles_Create, L("CreateRole"));
        roles.CreateChildPermission(PermissionNames.Pages_Frame_Roles_Update, L("UpdateRole"));
        roles.CreateChildPermission(PermissionNames.Pages_Frame_Roles_Delete, L("DeleteRole"));
        #endregion
    }
}

  在設置完畢后,需要將該類集成到Core層/XXXCoreModule當前模塊中,才能使得該部分權限設置生效。

//配置權限管理
Configuration.Authorization.Providers.Add<SurroundAuthorizationProvider>();

   作為業務的入口,菜單是較為直觀的體現方式,現在可以,為菜單分配權限了,擁有權限的人才能看的到菜單,同時後台方法中也要有權限判定,菜單僅作為前端入口上的控制,權限判定作為後端的控制。在MVC層的Startup/XXXNavigationProvider.cs中完成菜單的配置工作,可以配置多級菜單,每個菜單可以配置相應的權限,在生成菜單判定時,如果父級菜單權限不足,則直接會跳過子級菜單的判定。

new MenuItemDefinition(//基礎支撐
    PageNames.FrameManage,
    L(PageNames.FrameManage),
    icon: "&#xe828;",
    requiredPermissionName: PermissionNames.Pages_Frame
).AddItem(
    new MenuItemDefinition(//組織機構
        PageNames.OrganizationUnits,
        L(PageNames.OrganizationUnits),
        url: "/OrganizationUnits",
        icon: "&#xe6cb;",
        requiredPermissionName: PermissionNames.Pages_Frame_OrganizationUnits
    )
).AddItem(
    new MenuItemDefinition(//用戶管理
        PageNames.Users,
        L(PageNames.Users),
        url: "/Users",
        icon: "&#xe6cb;",
        requiredPermissionName: PermissionNames.Pages_Frame_Users
    )
).AddItem(
    new MenuItemDefinition(//角色管理
        PageNames.Roles,
        L(PageNames.Roles),
        url: "/Roles",
        icon: "&#xe6cb;",
        requiredPermissionName: PermissionNames.Pages_Frame_Roles
    )
).AddItem(
    new MenuItemDefinition(//系統設置
        PageNames.HostSettings,
        L(PageNames.HostSettings),
        url: "/HostSettings",
        icon: "&#xe6cb;",
        requiredPermissionName: PermissionNames.Pages_Frame_HostSettings
    )
)

  在前端頁面上,對於按鈕級別的控制也通過權限判定,Abp提供了判定方法,利用Razor語法進行按鈕控制

@if (await PermissionChecker.IsGrantedAsync(PermissionNames.Pages_Core_DataDictionary_Create))
{
    <button class="layui-btn layuiadmin-btn-dataDictionary" data-type="addDataDictionary">添加類型</button>
}

  在後端方法上,通常我喜歡直接在應用服務中的方法上做權限判定(當然也可以前移到MVC層,但是這樣一來,針對於WebApi形式的Host層,又得多加一次判定了),利用AbpAuthorize特性,判定該方法需要哪幾個權限才能訪問,而在mvc的控制器上做訪問認證。

[AbpAuthorize(PermissionNames.Pages_Core_DataDictionary_Create)]
private async Task CreateDataDictionaryAsync(CreateOrUpdateDataDictionaryInput input)
{

}

 

2、角色與權限

   在Abp中,角色信息存儲在abprole表中,角色與權限間的關聯存儲在abppermission這張表中,一個角色有多個權限,如果某個角色的權限被去掉了,這張表中的相關記錄將由abp負責刪除,我們只需要完成掌控哪些權限是這個角色有的就行。Abp中已經完成了角色的所有操作,但是前端部分採用的是bootstrap弄的,將其改造一波,成為layui風格。

  

  在創建角色中,主要是將選中的權限掛鈎到具體的某個角色上,該部分代碼沿用abp中自帶的角色權限處理方法。

private async Task CreateRole(CreateOrUpdateRoleInput input)
{
    var role = ObjectMapper.Map<Role>(input.Role);
    role.SetNormalizedName();

    CheckErrors(await _roleManager.CreateAsync(role));

    var grantedPermissions = PermissionManager
        .GetAllPermissions()
        .Where(p => input.PermissionNames.Contains(p.Name))
        .ToList();

    await _roleManager.SetGrantedPermissionsAsync(role, grantedPermissions);
}

  指定角色Id,租戶Id及之前聲明的權限名稱,在abppermission中可查看到具體角色權限。

  

 

3、用戶與角色

   一個用戶可以承擔多個角色,履行不同角色的義務,作為一個業務系統最基本的單元,abp中提供了這些概念並在Module Zero模塊中已經完成了對用戶的一系列操作,用戶信息存儲在AbpUsers表中,用戶直接關聯的角色保存在AbpUserRoles表中,abp中MVC版本採用的是bootstrap風格,因此,用layui風格完成一次替換,並且,改動一些頁面布局。

  

  Abp版本中,由於是土耳其大佬所開發的習慣,針對於姓和名做了拆分,因此對於我們的使用要做一次處理,我這先簡單處理了一下,並且在業務系統中,郵箱時有時無,因此也需要進行考慮。

[AbpAuthorize(PermissionNames.Pages_Frame_Users_Create)]
private async Task CreateUser(CreateOrUpdateUserInput input)
{
    var user = ObjectMapper.Map<User>(input.User);
    user.TenantId = AbpSession.TenantId;
    user.IsEmailConfirmed = true;
    user.Name = "Name";
    user.Surname = "Surname";
    //user.EmailAddress = string.Empty;

    await UserManager.InitializeOptionsAsync(AbpSession.TenantId);
    foreach (var validator in _passwordValidators)
    {
        CheckErrors(await validator.ValidateAsync(UserManager, user, AppConsts.DefaultPassword));
    }

    user.Password = _passwordHasher.HashPassword(user, AppConsts.DefaultPassword);

    await _userManager.InitializeOptionsAsync(AbpSession.TenantId);

    CheckErrors(await _userManager.CreateAsync(user, AppConsts.DefaultPassword));

    if (input.AssignedRoleNames != null)
    {
        CheckErrors(await _userManager.SetRoles(user, input.AssignedRoleNames));
    }

    if (input.OrganizationUnitIds != null)
    {
        await _userManager.SetOrganizationUnitsAsync(user, input.OrganizationUnitIds);
    }

    CurrentUnitOfWork.SaveChanges();
}

  此處對用戶個人單獨的權限沒有去做處理,依照Abp的文檔有那麼一句話,大多數應用程序中,基於角色的已經足夠使用了,如果想聲明特定權限給用戶,那麼針對於用戶本身的角色權限則被覆蓋。    

 

 至此,修改整合用戶、角色和權限加入到系統中初步完成了,至於一些更為豐富的功能,待逐步加入中,車子再好,司機也得睡覺。

 

 倉庫地址:

2019-11-17,望技術有成后能回來看見自己的腳步

本站聲明:網站內容來源於博客園,如有侵權,請聯繫我們,我們將及時處理

【其他文章推薦】

※想知道網站建置網站改版該如何進行嗎?將由專業工程師為您規劃客製化網頁設計後台網頁設計

※不管是台北網頁設計公司台中網頁設計公司,全省皆有專員為您服務

※Google地圖已可更新顯示潭子電動車充電站設置地點!!

※帶您來看台北網站建置台北網頁設計,各種案例分享

分類
發燒車訊

『嗨威說』算法設計與分析 – PTA 程序存儲問題 / 刪數問題 / 最優合併問題(第四章上機實踐報告)

本文索引目錄:

一、PTA實驗報告題1 : 程序存儲問題

  1.1  實踐題目

  1.2  問題描述

  1.3  算法描述

  1.4  算法時間及空間複雜度分析

二、PTA實驗報告題2 : 刪數問題

  2.1  實踐題目

  2.2  問題描述

  2.3  算法描述

  2.4  算法時間及空間複雜度分析

三、PTA實驗報告題3 : 最優合併問題

  3.1  實踐題目

  3.2  問題描述

  3.3  算法描述

  3.4  算法時間及空間複雜度分析

四、實驗心得體會(實踐收穫及疑惑)

 

 

一、PTA實驗報告題1 : 程序存儲問題

  1.1  實踐題目:

 

  1.2  問題描述:

      題意是,題干給定磁盤總容量和各個文件的佔用空間,詢問該磁盤最多能裝幾個文件。

 

  1.3  算法描述:

      簽到題,只需要將各個文件從小到大排序,並拿一個變量存儲已佔用的容量總和,進行對比即可得到結果。

#include<bits/stdc++.h>
#include<algorithm>
using namespace std;
#define MAXLENGTH 1000
int interger[MAXLENGTH];
int main()
{
    int num,length;
    int sum = 0;
    int counter = 0;
    int m = 0;
    cin>>num>>length;
    for(int i=0;i<num;i++){
        cin>>interger[i];
    }
    sort(interger,interger+num);
    while(true){
        if(sum+interger[m]>length||counter==num)
            break;
        sum+=interger[m];
        counter++;
        m++;
    }
    cout<<counter<<endl;
    return 0;
 } 

 

  1.4  算法時間及空間複雜度分析:

     整體算法上看,輸入需要O(n)的時間進行輸入,最快用O(nlogn)的時間複雜度進行排序,使用O(n)的時間進行結果疊加,總時間複雜度為O(nlogn),時間複雜度花費在排序上。

    空間上,只需要一個臨時變量存儲當前佔用容量總和即可。

 

 

二、PTA實驗報告題2 : 刪數問題

  2.1  實踐題目:

 

  2.2  問題描述:

    第二題題意是指,在給定的数字串以及可刪數個數的條件下,刪數指定k個數,得到的數是最小的。

 

  2.3  算法描述:

    首先,分析題目,刪數問題,可以用一個比較方便的函數,String類的erase函數,這個函數可以刪除字符串內的單個或多個字符,可以比較方便的處理刪數問題。

    第二,我們注意到這道題有個坑點,那就是前導零,我們需要注意100000,刪除1后結果應為0

    第三,確定我們的貪心策略:噹噹前的數,比后一位數大時,刪去當前的數。

    如:樣例178543

    用一個index時刻從頭往後掃,不滿足就后移。

 

     當滿足之後,刪除當前的值。

 

    得到17543,這時將index重新置0,並記錄已刪數+1,直到滿足最大刪數。以此類推,直接輸出string便是結果。

    AC代碼:

#include<iostream>
#include<algorithm>
#include<string>
using namespace std;
#define MAXLENGTH 1005
int main(){
    int k;
    string a;
    cin>>a>>k;
    int len = a.size();
    while(k>0){
        for(int i = 0;(i<a.size()-1);i++){
            if(a[i]>a[i+1])
            {
                a.erase(i,1);
                break;
            }
        }
        k--;
    }
    while(a.size()>1&&a[0]=='0'){
        a.erase(0,1);
    }
    cout<<a<<endl;
    return 0;
}

 

  2.4  算法時間及空間複雜度分析:

    時間複雜度為O(n^2),即開銷在不斷的刪數和回溯到字符串頭的過程。

    空間複雜度需要一個String字符串長度,因此空間複雜度是O(n)

 

 

三、PTA實驗報告題3 : 最優合併問題

  3.1  實踐題目:

 

  3.2  問題描述:

    該題目為:題目用 2 路合併算法將這k 個序列合併成一個序列,並且合併 2 個長度分別為m和n的序列需要m+n-1 次比較,輸出某段合併的最大比較次數和最小比較次數。

 

  3.3  算法描述:

    這道題算是哈夫曼算法的一道裸題,很容易解決,只需要使用優秀隊列不斷維護最小值或最大值即可。

    哈夫曼樹:是一顆最優二叉樹。給定n個權值作為n個恭弘=叶 恭弘子的結點,構造一棵二叉樹,若樹的帶權路徑長度達到最小,這棵樹則被稱為哈夫曼樹。

    因此本題根據哈夫曼算法,我們以最小比較次數為例:

 

 

     首先從隊列中選出兩個最小的數進行合併,並在隊列中刪除這兩個數,並將新合成數加入隊列中。

 

 

     再取最小的兩個數再進行合併,以此類推,得到最終的大數如下

    因此最小比較次數為:( 7 – 1 ) + ( 18 – 1 ) + ( 30 – 1 ) =  52,即為所得。最大比較次數也是同理。

   AC代碼如下:

#include<bits/stdc++.h>
using namespace std;
priority_queue<int> Haff;
priority_queue<int, vector<int>, greater<int> > Haff2;
int n,ans1,ans2;

int main()
{
    cin>>n;
    for(int i = 0;i<n;i++)
    {
        int temp;
        cin>>temp;
        Haff.push(temp);
        Haff2.push(temp);
    }

    while(1)
    {
        if(Haff.size() == 1)
            break;
        int temp1 = Haff.top();
        Haff.pop();
        int temp2 = Haff.top();
        Haff.pop();
        Haff.push(temp1+temp2);
        ans1 += temp1+temp2-1;
    }
    
    while(1)
    {
        if(Haff2.size() == 1)
            break;
        int temp1 = Haff2.top();
        Haff2.pop();
        int temp2 = Haff2.top();
        Haff2.pop();
        Haff2.push(temp1+temp2);
        ans2 += temp1+temp2-1;
    }
    cout<<ans1<<" "<<ans2;
    return 0;
 } 

 

  3.4  算法時間及空間複雜度分析:

    由分析易知,雖然進行了兩次優先隊列維護,但是總的時間複雜度數量級是不變的,用O(n/2)的時間pop和push合成樹。在優先隊列裏面用紅黑樹對順序進行維護,時間複雜度為O(nlogn),最後將統計的結果輸出,總的時間複雜度為O(nlogn)。

   空間複雜度為兩棵紅黑樹,即T(2n) = O(n)。

 

 

四、實驗心得體會(實踐收穫及疑惑):

    經過動態規劃的肆虐之後,貪心算法變得稍微容易很多,和三木小哥哥的合作很愉快,能夠很好較快及時的解決三道實踐問題,暫無太多的問題,繼續加油。

 

 

如有錯誤不當之處,煩請指正。

本站聲明:網站內容來源於博客園,如有侵權,請聯繫我們,我們將及時處理

【其他文章推薦】

USB CONNECTOR掌控什麼技術要點? 帶您認識其相關發展及效能

※評比前十大台北網頁設計台北網站設計公司知名案例作品心得分享

※智慧手機時代的來臨,RWD網頁設計已成為網頁設計推薦首選

※評比南投搬家公司費用收費行情懶人包大公開